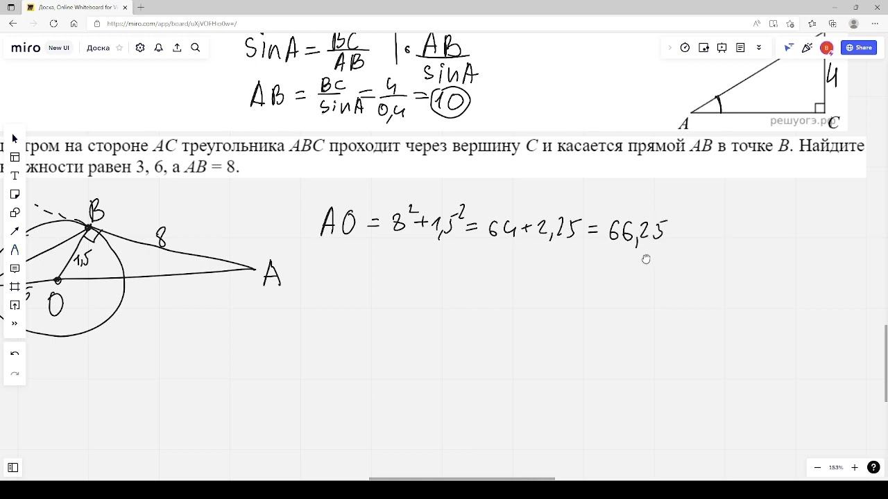
Касательная, хорда, секущая, радиус 339742

12+
2 просмотра
4 года назад
12+
2 просмотра
4 года назад

, чтобы оставлять комментарии