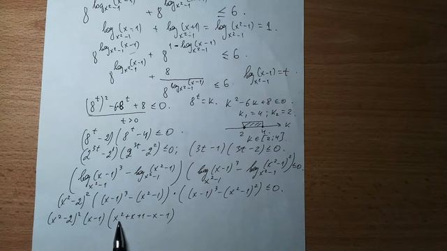
Вариант №242 МГУ Показательное неравенство

Иконка канала МИХ МАТ
39 подписчиков
12+
7 просмотров
год назад
12+
7 просмотров
год назад

, чтобы оставлять комментарии