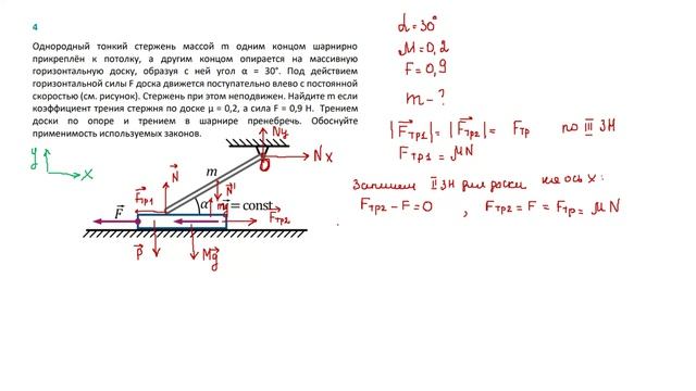
11 кл расчетные задачи статика з4

Иконка канала TAНЯPROfiziky
8 подписчиков
12+
4 просмотра
16 дней назад
12+
4 просмотра
16 дней назад

, чтобы оставлять комментарии