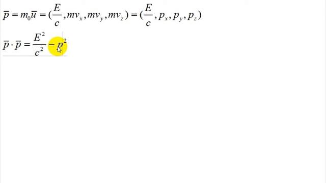
Специальная теория относительности _ классическое соотношение для энергии и импульса

Иконка канала Ундозер
4 подписчика
12+
3 просмотра
7 дней назад
12+
3 просмотра
7 дней назад

, чтобы оставлять комментарии