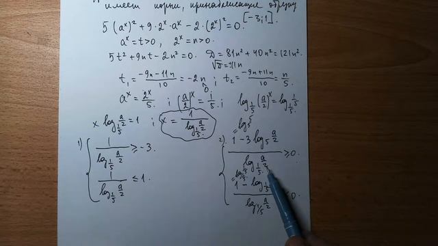
Показательное уравнение с параметром

Иконка канала МИХ МАТ
39 подписчиков
12+
4 просмотра
2 года назад
12+
4 просмотра
2 года назад

, чтобы оставлять комментарии