Find the Value of An Inverse Function: 𝒇^(−𝟏) (𝟑) = ?

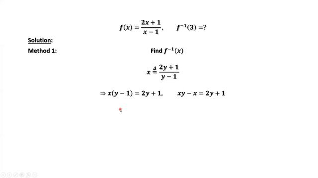
We discuss a general method for finding inverse function. Then we can find the inverse function value. The second method is to solve an equation and find the answer directly. Dr. Wang @ https://www.youtube.com/channel/UC3TkYnZUNewp56AYA5PoDUA

Иконка канала Spellbinding Home Decorating
11 подписчиков
12+
16 просмотров
2 года назад
12+
16 просмотров
2 года назад

We discuss a general method for finding inverse function. Then we can find the inverse function value. The second method is to solve an equation and find the answer directly. Dr. Wang @ https://www.youtube.com/channel/UC3TkYnZUNewp56AYA5PoDUA

, чтобы оставлять комментарии